Кредитование
Инвестиционное кредитование ИП
Для финансирования могут привлекаться ресурсы, которые имеют статус инвестиционных:
- средства сторонних или внешних инвесторов на базе прямого их участия в капитале предприятия;
- средства публичных инвесторов, привлекаемых в ходе размещения акционерного капитала через фондовую биржу;
- получение государственных грантов на участие в социально значимых инвестиционных программах при поддержке федеральных органов исполнительной власти или региональных правительств;
- средства, аккумулированные самими предприятиями для развития своих внутренних инвестиционных программ.

Проектное финансирование
Проектное финансирование инвестиционного проекта предполагает два основных типа привлеченных средств:
кредитное финансирование, в том числе использование проектных кредитных линий;
финансирование за счет государственных или муниципальных инвестиционных программ, имеющих важное социальное экономическое значение для конкретной территории.
Кредитование строительства
Финансирование проектов в капитальном строительстве, включая и инвестиции в девелоперские проекты, осуществляется тремя вариантами:
- За счет денег самих будущих жильцов комплекса через ипотечное кредитование. Это так называемое долевое инвестиционное строительство.
- Строительство за счет финансов, привлеченных средств внешних инвесторов.
- За счет средств, выделяемых по государственным или муниципальным программам. Например, программы по возведению социального жилья, принятые в большинстве регионов РФ.
Что такое инвестиционный проект
В самом общем классическом определении понятие «инвестиционный проект» (далее по тексту — ИП) — это совокупность операций (финансовых, организационных, технических и кадровых), сконцентрированных на достижении определенной цели.
Они требуют для своего осуществления материальных (финансовых, капитальных и интеллектуальных) вложений или инвестиций. Если для достижения этой цели необходима реализация нескольких инвестиционных проектов, то комплекс таких проектов, объединенных единой целью, называется инвестиционной программой, мультипроектом.

Рисунок 1. Инвестиции.
Участники и их функции
Чтобы реализовать ИП на практике, потребуется, кроме целей и желаний инвестора, привлечение ряда участников и специалистов.
Такими могут быть следующие участники:
- заказчик или бенефициар ИП. Тот, кто непосредственно заинтересован в выгоде от реализации. Это может быть частное лицо, корпорация, государство, городская администрация и даже общественная организация;
- инвестор — это тот, кто своими деньгами, материальными или интеллектуальными активами прямо или косвенно финансирует ИП;
- исполнитель или подрядчик — частное лицо (группа лиц) или организация, непосредственно выполняющее работу или ТЗ по воплощению ИП в реальность;

Рисунок 2. Участники инвестиционного проекта.
- проектная организация, консалтинговая компания — это группа лиц или компаний, осуществляющих подготовку ИП, выполняя его расчеты, техническое обоснование, подготовку документации, юридическое сопровождение;
- крюинговая или аутсорсинговая компания — выполняют задания владельца ИП по набору, обучению необходимого персонала;
- кредитная организация — банк, через который осуществляется кредитное финансирование ИП;
- страховая компания — осуществляет страхование как всего инвестпроекта в целом, так и его отдельных технологических процессов, наиболее рискованных операций, в том числе страхование рыночных рисков;
- контролирующие, лицензирующие и разрешительные государственные или муниципальные органы власти. Они осуществляют постоянный мониторинг ИП на предмет его соответствия законам, стандартам и технологическим нормам;
- общественные организации — играют роль публичного аудитора на предмет того, что ИП соответствует экологическим, моральным и этическим нормам.
Особенность инвестиционных проектов
Особенностью инвестиционного процесса является то, что он сопряжён с неопределённостью в части производимых затрат и получаемых в будущем результатов, и степень этой неопределённости может значительно варьироваться.
Таким образом, зависимости от величины риска инвестиционные проекты подразделяются на:
-
надежные безрисковые проекты, характеризующиеся высокой вероятностью получения гарантируемого результата (например, проекты, выполняемые по государственному заказу);
-
рисковые проекты, для которых характерна высокая степень неопределенности как затрат, так и результатов (например, проекты, связанные с созданием новых производств и технологий).
Внешняя оценка инвестпроекта
Оценку эффективности осуществляет владелец проекта, ключевые партнеры, внешние контрагенты. Это может быть круг лиц или компаний, которые непосредственно заинтересованы в реализации проекта, государственные или муниципальные власти, общественность, акционеры или сторонние инвесторы.
Анализ привлекательности проекта для самого инвестора
Инвестор при расчете руководствуется показателями экономической эффективности проекта, куда он вкладывает свои деньги, рядом факторов, делающих этот проект привлекательным. Это, в частности, могут быть:
- долгосрочность и перспективность вложений;
- новизна используемой идеи;
- стабильность или предсказуемость рыночной среды;
- удобство управления проектом;
- низкие риски;
- выполнение общественно значимой задачи.
Оценка таких параметров производится путем экспертных консультаций.
Оценка перспектив ниши
Реализация любого ИП рассчитана на удовлетворение потребности рынка, спроса со стороны клиентов. Для оценки рыночной ниши используются маркетинговые исследования, социологические опросы. Это необходимо, чтобы инвестор проекта точно знал, насколько то, что он будет делать, производить, продавать, необходимо потребителям, обществу.
Работа с прямыми конкурентами
Для этих целей могут быть использованы:
- прямая конкурентная борьба с помощью демпинга цен с целью захвата рыночной доли;
- работа по линии качества, когда ИП способен предложить более совершенную продукцию по сравнению с конкурентами;
- выход на рынок с принципиально новым продуктом;
- снижение издержек и повышение эффективности ИП, что дает возможность удерживать свою нишу на рынке.
За счет чего компания будет получать прибыль
Чтобы ИП достиг своей цели, у инвестора должно быть четкое понимание, за счет чего именно будет прибыль:
- реализации продукции или услуг по мере выхода на рынок;
- получение дохода за счет консультационных услуг, если ИП был успешно реализован;
- получение сопутствующей прибыли, не связанной с ИП непосредственно.
Прогнозы и оценки: официальные и профессиональные
Как отмечают эксперты Минстроя России, экономический эффект от расширения практики применения типовой проектной документации для каждого проекта будет индивидуальным. При этом в министерстве подчеркивают, что экономия за счет тех средств, которые были бы затрачены на оплату разработки и создание нового проекта с нулевого цикла несомненно будет ощутима. Так, при использовании проектной документации повторного применения финансироваться будет лишь разработка проектной документации на фундамент, внешние инженерные сети, благоустройство, а также составление сметной стоимости строительства и проведения экспертизы.
Между тем сами строители в целом положительно относятся к нововведениям, однако отмечают, что имеющейся нормативной базы для внесения полной ясности в этом вопросе пока не вполне недостаточно. «Использование типовых проектов значительно упрощает процесс проектирования и дальнейшего строительства однотипных объектов капитального строительства. Очень хорошо, что в Градостроительный кодекс РФ будет введено определение документации повторного применения и перечислены основные условия ее использования. Тем не менее за этим понятием стоит нечто большее, нежели тот текст, который предложили нам авторы закона», – полагает директор по науке Группы компаний «Городской центр экспертиз» Алексей Исаков. «Не следует забывать о том, что для того, чтобы типовой проект, пусть он ранее и прошел все предписанные экспертизы, стал легитимным, застройщику каждый раз необходимо будет выполнить ряд дополнительных мероприятий. Так, ему в любом случае придется предварительно осуществить «привязку» типового проекта к местности, провести инженерные изыскания, спроектировать фундамент с учетом особенностей конкретной площадки. По результатам этой работы также требуются получение экспертного заключения», – продолжает эксперт. Кроме того, Алексей Исаков напоминает, что состав проектной документации подразумевает наличие так называемых спецразделов, содержимое которых также требует экспертной оценки. К примеру, это относится к вопросам обеспечения экологической и пожарной безопасности, а также присоединения возводимого объекта к внешним инженерным сетям. А в случае модификации типовой проектной документации – ведь без этого практически невозможно обойтись, нужно еще и получить у автора типового проекта согласование. «Опыт показывает, что наверно застройщикам придется перерабатывать эти разделы каждый раз», – подчеркивает эксперт.
Начальник Департамента проектирования ООО «Мортон – РСО» Татьяна Зверева, в свою очередь, отмечает ряд проблем, которые возникают при использовании типовых проектов в строительстве социальных объектов. «В микрорайонах, где мы работаем, повторно применить типовую документацию при строительстве детских садов и школ практически невозможно. Главным образом это связано с особыми требованиями к таким объектам. К примеру, проекты каждый раз приходится приводить в соответствие с условиями размещения территории школы или детского сада на местности, с условиями инсоляции и т. д. Кроме того, постоянно меняется нормативная документация, в том числе касающаяся требований к доступности объектов маломобильным группам населения и т. д. Все это затрудняет использование типовых проектов», – заключает эксперт.
***
Таким образом, пока остается только надеяться, что активно реализовывать типовые проекты и экономить при этом на дополнительной строительной экспертизе будут не только государственные и муниципальные заказчики, но и коммерческие застройщики. А, значит, экономию ощутят не только федеральный и региональные бюджеты, но и кошельки простых граждан и предпринимателей.
А как у них
«Нам уже давно удалость победить дискриминацию в отношении кредитования деревянных домов, — рассказывает генеральный директор самой крупной постоянной выставки домостроения в Австрии Blau Lagune Эрик Бенишек. — Главным было доказать полезность и безопасность таких строений и убедить клиентов в правильности их выбора.
Так, удалось принять законодательные проекты, гарантирующие качество со стороны застройщики и разработать определенные товарные знаки, которые выдаются специальными институтами по контролю. Благодаря этим шагам, теперь с точки зрения банков не существует разницы в финансировании каркасно- деревянного и «обычного» жилого дома.
При этом наши достижения — это 95% частной инициативы и 5% инициативы государства. Мы не ждем от властей многого, а вносим ряд инициатив, к которым прислушиваются — это касается тех же товарных и отличительных знаков».
Мировой опыт деревянного домостроения
В США, Канаде и Финляндии доля деревянных домов в общем объёме малоэтажного строительства составляет более 80%, в Японии – 45 %, в Германии и Великобритании – около 12–15%. Доля деревянных жилых и нежилых зданий в общем объёме строительства по этим странам доходит до 40%.
В России в структуре малоэтажного домостроения по конструкции стен на дерево приходится около 25% от общего объёма жилья в кв. м.
Доля строительства с применением продукции деревянного домостроения (клееный, оцилиндрованный, профилированный брус, деревянные сэндвич-панели) в 2016 году составила всего 12%.

В общем объеме строительства / В общем объеме малоэтажного строительства
Панели из поперечно-клееной древесины (CLT)
Панели из поперечно-клееной древесины — современный строительный материал, который открывает новые возможности в деревянном массивном домостроении. Это относительно недорогой материал, который в последнее время все чаще используются в строительстве в Европе и Америке и спрос на него постоянно растет.

CLT-панели – это массивный, многослойно склеиваемый строительный материал из дерева. Панели обычно состоят из нескольких слоев, количество которых зависит от назначения этих панелей. Благодаря проклейке крест-накрест под высоким давлением в прессе характеристики набухания и усадки древесины сокращаются до незначительного минимума.
Риски при работе с инвестиционными проектами
Прибыльное вложение денег в ИП всегда сопряжено с риском. Это аксиома рыночной экономики. Типичными рисками являются:
- форс-мажорные риски — это действия непреодолимой силы, которые нельзя ни предугадать, ни компенсировать полностью (стихийные бедствия, техногенные катастрофы и военные конфликты);
- технологические риски, связанные с несовершенством применяемых технологий, оборудования;
- рыночные риски, связанные с тем, что товар, услуги ИП не отвечают запросам рынка, не востребованы им;
- кредитные риски — это невозможность в силу каких-то причин ИП генерировать в достаточном размере прибыль, способную компенсировать взятые в долг деньги; Риск человеческого фактора — некомпетентность персонала, непрофессионализм менеджмента;
- политические риски — ужесточение налогового законодательства, жесткого контроля бизнеса со стороны государства, коррупция чиновников, смена политического режима с конфискацией активов инвесторов.
Каждый из рисков имеет особенности, которые при разработке и реализации ИП должны быть учтены в инвестиционной программе или меморандуме.

Серый рынок
Его проблема стоит в области деревянного домостроения достаточно остро. Как говорит Виктор Евтухов, «серый рынок оттягивает и без того недостаточный спрос и дискредитирует идею деревянного домостроения».
Процент серого рынка в деревянном домостроении составляет порядка 40%, а в дачном сегменте — и до 60%.
В борьбе с серым рынком представители отрасли предлагают, в частности, некоторые маркетинговые шаги и уловки.
«Как маркетолог, я могла бы предложить своеобразный ход — формирование страха потребителей перед серым рынком, — говорит директор по маркетингу компании «Зодчий» Ирина Друнина. — В этом могут помочь видеоматериалы и другие источники, где демонстрировали бы разваленный дом, упавшая балка и т.д. Потребители активно читают, смотрят, делают выводы».
Многие участники рынка говорят и о необходимости образовывать и просвещать потенциального потребителя.
«Поскольку информационное поле в Интернете у нас бесконтрольное, остается работать только в области обучения потребителя. Но если человек решил нанять «левую бригаду» на полях Интернета, он ее найдет», — говорит генеральный директор компании АВ Николай Шашков.
«Самое главное — повышение грамотности потребителя, — соглашается генеральный директор проекта «Open Village» Владислав Копица. — При этом есть и строительные компании, которые обманывают и кидают, и такие объединения играют на руку серому рынку. Мы должны объединить общие усилия в рамках ассоциации, чтобы решать все эти проблемы».
Некоторые же участники рынка предлагают совсем уж жесткие и радикальные меры. Так, Роман Коняхин, директор выставки «Малоэтажная страна», ссылается на опыт Германии, где нет проблемы серого рынка как таковой, но есть частные бригады.
Согласно внутренним правилам страны, строительство изначально должно быть согласовано проектировщиком, который впоследствии выступает и в роли прораба. Он полностью контролирует строительную компанию и следит за правильным подбором строительных материалов, так как на нем вся ответственность за возведение дома.
Даже если строить дом своими силами, присутствие проектировщика обязательно до момента возведения здания под крышу.
А управляющий партнер корпорации GOOD WOOD Александр Дубовенко подчеркивает, что борьба между представителями «серого» и официального рынка ведется в неравных условиях — к представителям первого нет никаких требований, они не платят налоги.
По мнению Дубовенко, государство должно принять меры как по отношению к таким бригадам, которые вынудят их стать «белыми», так и по отношению к заказчикам, пользующимися услугами нелегальных компаний, которые должны столкнуться впоследствии с проблемами, связанными с пропиской или с подключением газа, если речь идет именно о полноценном жилом доме.
Тем не менее, большая часть экспертов уверены, что окончательная и бесповоротная победа серого рынка в деревянном домостроении в нашей стране — это, все-таки, утопия. Ведь в любом случае останутся люди, которые хотят «построить задешево» или обмануть систему,
Но есть и большая категория потребителей, которые хотят надежности, но сталкиваются с недостатком информации на рынке, поэтому надо максимально дать им эту информацию — так можно сформулировать общий подход участников рынка.
Математическая оценка инвестиционного проекта
Внутренняя норма доходности
Этот математический коэффициент показывает, насколько ИП способен генерировать прибыль с учетом ставки дисконтирования или нормы кредитного процента.
Если индекс больше 1, принято считать, что ИП дает прибыли больше, чем приходится платить за кредит и он выше процента инфляции.

D1 — ставка дисконтирования, соответствующая NPV1 (положительному значению чистого дохода);
D2 — ставка дисконтирования, соответствующая NPV2 (отрицательному значению чистого дохода).
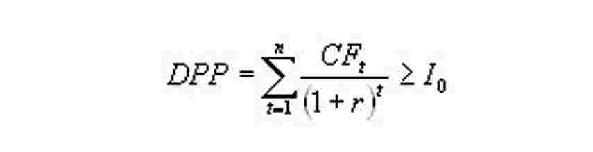
Срок окупаемости
Срок окупаемости может быть рассчитан двумя основными методами.
Первый (самый простой) — разделить сумму первоначальных инвестиций на сумму ежегодного дохода, который будет приносить ИП. Исчисляется срок окупаемости в годах или месяцах.
Второй метод — это расчет срока окупаемости с учетом ставки дисконта или кредитного процента (инфляции) по формуле.

Где,
n — количество периодов;
CFt — приток средств за период t;
r — коэффициент дисконтирования;
Io — размер исходных вложений в нулевой период.
Основное достоинство метода — он учитывает инфляционные риски на стадии проектирования.
Ликвидность
Ликвидность ИП — это период, в течение которого инвестор или владелец инвестпроекта может перевести активы в денежные средства. Проще говоря, насколько можно быстро продать объекты или активы на рынке и получить за него деньги. Ликвидность исчисляется периодом, который необходим для продажи ИП на рынке.

Рисунок 5. Расчет инвестиционного проекта.
Расчет экономической эффективности
Экономическая эффективность рассчитывается с помощью различных индексов рентабельности инвестиций.
Самый простой вариант — это индекс рентабельности на базе денежного потока проекта:
PI = ∑ NCF/I
Где:
PI — индекс рентабельности инвестиций;
NCF (net cash flow) — дисконтированные денежные потоки;
I — инвестиции.
Инвестиционный проект коттеджного посёлка в близости от МКАД в Юго-Западном направлении
Единой архитектурной концепцией застройки поселка предусмотрено строительство 45 домовладений, рядом с озером, живописном лесном массиве, на площади 8 гектаров, с обеспечением каждого дома всеми коммуникациями, удобной и современной инфраструктурой для спорта и детского отдыха.
Высокое качество «биопозитивных» материалов и надежное партнерство с ведущим производителем премиального клееного бруса — залог успешной реализации проекта.
Со-инвестирование проекта: от 50 000 000;
Выкуп 100% проекта: до 240 000 000 рублей;
Доходность инвестиций: от 12% годовых;
Возврат инвестиций: 3 года;

Потребность в инвестициях предусмотрена планом развития проекта.
Внешние предпосылки успешной реализации проекта обусловлены ростом доходов населения в крупных городах и формированием глобального эко-тренда, основанного на потребности людей оградить себя от негативных последствий урбанизации и ухудшения экологической обстановки, а также стремлении следовать здоровому образу жизни.
Высокий интерес потенциальных клиентов к нашему предложению обусловлен тем, что земельные участки в лесу в Подмосковье всегда пользуются большим спросом, наиболее острый дефицит лесных участков наблюдается в сегментах «элит» и «премиум». Доля участков у леса от общего числа составляет 10%. При этом потребительская ценность и инвестиционная привлекательность настоящих, действительно лесных участков, несравнимо выше. Предложения таких участков на рынке Подмосковья встречаются достаточно редко. Так же мы предполагаем, что отложенный спрос на готовые дома в этом уникальном месте будет простимулирован ситуацией с коронавирусом после длительного периода самоизоляции и потребностью людей в качественном отдыхе с соблюдением социальной дистанции (что практически невозможно в многоквартирных домах мегаполиса).
С учетом расположения объекта и ситуации на территории локальной конкуренции сформирован продукт – разработаны эксклюзивные проекты домов площадью от 200 до 270 м2 на земельных участках площадью от 12 до 30 соток.
При создании архитектурного стиля и проектировании внутреннего пространства учтены передовые тенденции деревянного домостроения и современные тренды дизайна интерьеров.
Запущена пилотная рекламная кампания коттеджного поселка: создан сайт, сформирован пул потенциальных покупателей, тем самым подтвержден высокий интерес к приобретению домовладения в поселке.
Важным драйвером успеха проекта является потенциал роста стоимости земельных участков за счет следующих факторов:
клубный поселок внутри крупной лесопарковой территории в непосредственной близости от крупного водоема наличие лесных деревьев на участке единые современные архитектурные решения однородное социальное окружение наличие всех инженерных коммуникаций (включая газ) близость городской социальной инфраструктуры единая эксплуатационная служба поселка инфраструктурные объекты в поселке (административное здание, детская площадка, универсальная спортивная площадка, work out, panda park, прогулочные пространства)

По плану развития проекта коттеджного поселка за прошедший год проведены следующие работы:
1. Получены тех.условия на электроснабжение участка, проложен кабель длиной 1,5 км, установлен трансформатор, заключен договор на электроснабжение, электричество подано. 2. Подготовлен проект внутренних сетей электроснабжения поселка. 3. Сформирован земельный участок под дорогу, ведущую к поселку, поставлен на кадастровый учет. заключен договор долгосрочной аренды с Комитетом лесного хозяйства Московской области. 4. Реконструирована подъездная дорога в твердом покрытии и произведены работы по освещению. 5. Организованы внутренние проезды до участков в твердом покрытии, 2/3 поселка 6. Организована артезианская скважина 7. Проложен оптоволоконный кабель, подключен интернет 8. Завешены работы по устройству асфальтирования спортивной площадки и зоны work out 9. Смонтировано внешнее ограждение поселка 10. Завершается строительство административного здания въездной группы
Уникальная концепция и бренд поселка, а также квалифицированное управление проектом – результат работы группы профессионалов, имеющих компетенции в успешной реализации коттеджных поселков и опыт в управлении проектами в сфере недвижимости.
Риски при работе с инвестиционными проектами
Суть всего — правильное соизмерение потенциальной выгоды и риска. А инвестиционных рисков предостаточно.
Основные из них:
- Риск финансирования. Чтобы начать бизнес, нужны деньги. Хорошо, у вас есть сбережения в банке, активы с продажи какого-то старого барахла, деньги с кредитки или взятые в долг у друзей. Развитие бизнеса только с этими деньгами — азартная игра. Всегда есть риск, что первая порция денежного «топлива» кончится раньше, чем дело приедет к успеху. Инвестиционного горючего должно быть с запасом.
- Риск неверной оценки рыночного спроса. По статистике, отсутствие рыночной потребности — основная причина закрытия 42% неудачных инвестиционных проектов. Независимо от того, предлагаете вы товар или услугу, вам необходимо убедиться, что на рынке есть для нее место. И что оно будет потом. Проще говоря, отсортировываем хайповое от прибыльного в долгосрочной перспективе.
- Риск возможностей. Риск того, что инвестиционный проект не сможет своевременно масштабироваться для охвата рынка на необходимом уровне.
- Проектный риск. Риск того, что дизайн продукта или услуги не соответствует требуемому стандарту у инвесторов или не отвечает ожиданиям конечных потребителей.
- Экономический риск. Всегда есть опасность, что молодая компания слишком остро отреагирует на внешнеэкономические факторы. Динозаврам рынка проще — у них есть солидная денежная полушка, чтобы пережит самые затяжные зимы.
- Законодательный и политический риск. Не забываем, что изменения в законодательстве и политике способны накрыть медным тазом всю нашу идиллию. Для России, кстати, такая штука совсем не редкость.
- Управленческий риск. Бывает и так, что команде просто не хватает навыков и опыта, чтобы следовать бизнес-плану проекта. Часто это случается с быстрорастущими компаниями.
- Операционный риск. Риск того, что эксплуатационные расходы сильно превысят суммы, изначально заложенные в бюджете.
- Риск закупок. Риск, связанный с невозможностью закупать расходники/сырье в нужных объемах и в срок.
- Технологический риск. Такое случается редко, но нельзя исключать вероятность появления новых технологий, который вытеснят наш продукт как концепт.
Классификация и виды
Инвестиционные проекты можно поделить на несколько видов в зависимости от:
- Финансирования. Например, капитал может поступать из государственной казны (инициатор — само правительство или частный подрядчик) или от частных инвесторов (физические и юридические лица).
- Риска. Высокорисковые инвестиции против инвестиций с низким риском.
- Вида товара или услуги. Логистика и транспорт, промышленность, сельское хозяйство, финансы, здоровье, образование, хай-тек.
- Времени. Краткосрочные/среднесрочные/долгосрочные.
- Влияния на экономику. Локальный бизнес или международный масштаб.
- Затрат. Низкие/средние/высокие стартовые и операционные затраты.

В зависимости от целей и функций инвестиционные проекты можно разделить на такие типы:
- Выход на неисследованные рынки или разработка совершенно нового продукта. Цель требует стратегического анализа и связана с высокими маркетинговыми расходами. Такие проекты одни из самых рискованных. По этой причине инвесторов убедит только высокая минимальная доходность от этих проектов (300–500% минимум).
- Оптимизации производства и снижение затрат. Относится к наиболее распространенным инвестиционным решениям, поскольку предполагает выход в уже сформированную нишу с известной минимальной доходностью. Если дело уже кипит, инвесторы охотно раскошеливаются на то, чтобы раскрыть его потенциал по максимуму.
- Инновационные проекты. Предполагают разработку и промышленное использование принципиально новых технологий и, таким образом, помогают поддерживать создать компанию с сильными позициями в долгосрочной перспективе.









































